9月23日,浙江杭州市发改委发布关于2024年度杭州市光伏发电项目补贴清单的公示。
公示清单显示,共计677个工商业分布式光伏以及350个户用光伏项目清单入选。浙江省发改委表示,此次入选的项目为符合相关要求的2022年并网光伏发电项目及少量2021年并网但未进行申报的光伏发电项目。公示期为2024年9月23日—2024年9月27日。
文件详情如下:
市发改委关于2024年度杭州市光伏发电项目补贴清单的公示
根据杭州市发改委《关于进一步加快杭州市光伏发电项目建设的实施意见》(杭发改能源〔2022〕105号)及《杭州市光伏发电项目补贴发放实施细则》(杭发改能源〔2023〕55号)文件精神,拟对符合相关要求的2022年并网光伏发电项目及少量2021年并网但未进行申报的光伏发电项目进行补贴,现将补贴清单予以公示,如有异议,请于9月27日前反馈至杭州市发展和改革委员会。
公示时间:2024年9月23日—2024年9月27日。
邮箱:bgs@fzw.hz.gov.cn,邮件主题注明“2024年度杭州市光伏发电项目补贴清单”。
通信地址:杭州市解放东路18号市民中心B座707室。
联系方式:张建宾,电话:85253496。
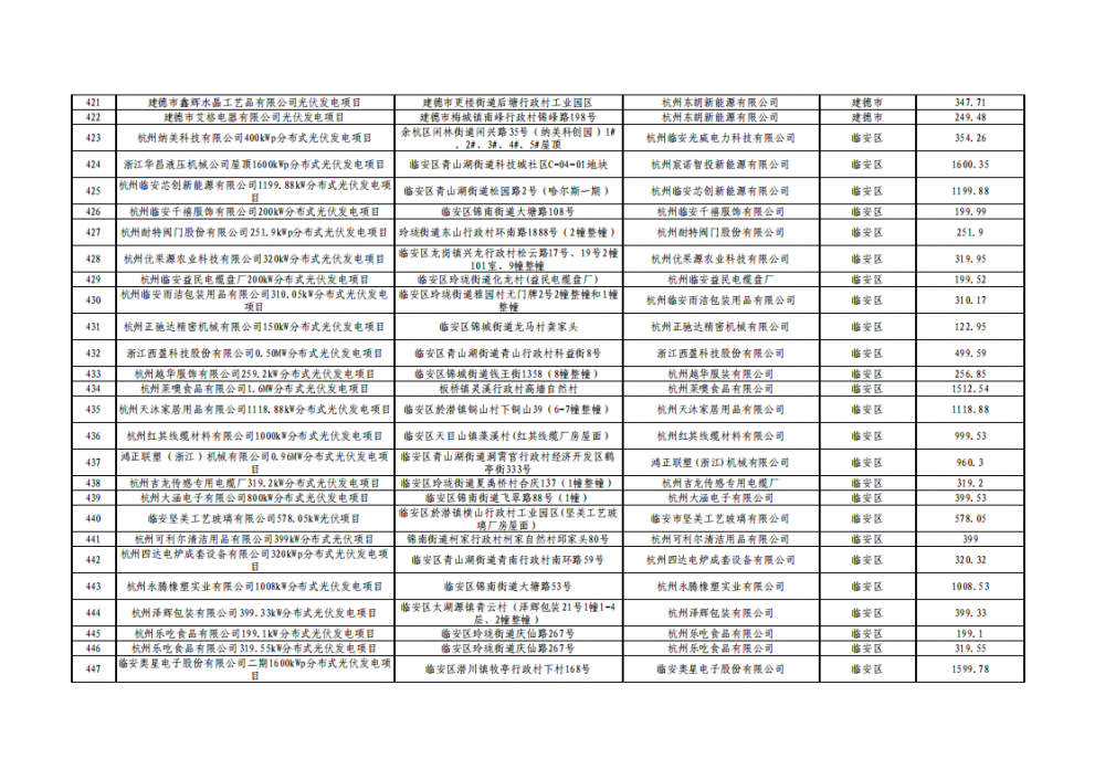
附件1:工商业分布式光伏补贴清单.pdf
附件2:户用光伏补贴清单.pdf
杭州市发展和改革委员会
2024年9月23日





































北京恒盛娱乐数字科技有限公司是一家专业的能源数字化方案提供商,国家级高新技术企业,发展愿景为能源数字化先锋,企业使命为让能源创造更大价值,赋能企业低碳转型。为响应国家关于绿色能源可持续发展的号召,服务国家“碳达峰、碳中和”行动计划,目前,可提供的能源数字化解决方案包括:恒盛娱乐能源经济评价云平台、综合能源经济评价及辅助规划设计系统、恒盛娱乐能源全周期经济后评价及辅助电力交易系统、碳中和行动计划监测指挥平台、零碳园区(工厂)恒盛娱乐能源管理系统和数字能源云等。能者先行,耀世而歌,恒盛娱乐愿竭诚携手社会各界,为恒盛娱乐地球家园创造更多的绿色能源。联系咨询:400-2962997 400-0462368 网址:www.gzjiansheng.com


